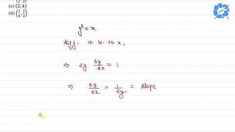
The point on the curve \( y^{2}=a x \) the tangent at which makes an angle of \( 45^{\circ} \) w...

Tonton & Download Video Musik Gratis

⬇ DOWNLOAD NOW
Kalau muncul iklan pop-up, tutup lalu klik tombol kembali

Download lagu The point on the curve \( y^{2}=a x \) the tangent at which makes an angle of \( 45^{\circ} \) w... secara gratis hanya untuk keperluan promosi. Dukung artis favorit kamu dengan membeli musik original di iTunes atau platform resmi lainnya.