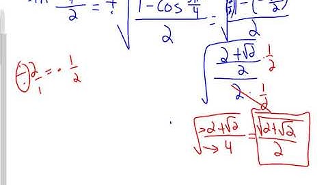
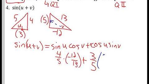
Mr. Lacine's HPC: 5.4 Lesson: Sum and Difference Formulas

Tonton & Download Video Musik Gratis

⬇ DOWNLOAD NOW
Kalau muncul iklan pop-up, tutup lalu klik tombol kembali

Download lagu Mr. Lacine's HPC: 5.4 Lesson: Sum and Difference Formulas secara gratis hanya untuk keperluan promosi. Dukung artis favorit kamu dengan membeli musik original di iTunes atau platform resmi lainnya.