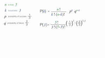
Binomial Distribution 8 The probability of a bomb heating a target is one by five if six bombs a

Tonton & Download Video Musik Gratis

⬇ DOWNLOAD NOW
Kalau muncul iklan pop-up, tutup lalu klik tombol kembali

Download lagu Binomial Distribution 8 The probability of a bomb heating a target is one by five if six bombs a secara gratis hanya untuk keperluan promosi. Dukung artis favorit kamu dengan membeli musik original di iTunes atau platform resmi lainnya.