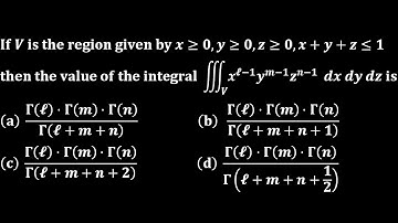
Full solution of bhu previous year 2014 questions of integral calculus in detail must watch video

Tonton & Download Video Musik Gratis

⬇ DOWNLOAD NOW
Kalau muncul iklan pop-up, tutup lalu klik tombol kembali

Download lagu Full solution of bhu previous year 2014 questions of integral calculus in detail must watch video secara gratis hanya untuk keperluan promosi. Dukung artis favorit kamu dengan membeli musik original di iTunes atau platform resmi lainnya.