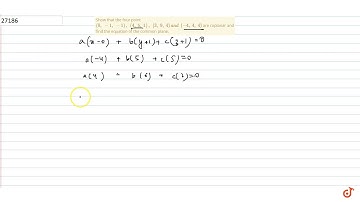
Show that the four points `(0,-1,-1),(-4,4,4),(4,5,1)a n d(3,9,4)` are coplanar. Find t equation of

Tonton & Download Video Musik Gratis

⬇ DOWNLOAD NOW
Kalau muncul iklan pop-up, tutup lalu klik tombol kembali

Download lagu Show that the four points `(0,-1,-1),(-4,4,4),(4,5,1)a n d(3,9,4)` are coplanar. Find t equation of secara gratis hanya untuk keperluan promosi. Dukung artis favorit kamu dengan membeli musik original di iTunes atau platform resmi lainnya.