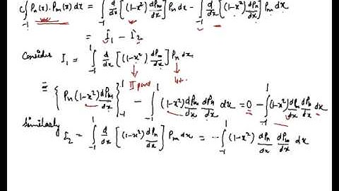
Orthogonal properties of Legendre's Polynomial || Lect :- 13 || Advanced Special function ||

Tonton & Download Video Musik Gratis

⬇ DOWNLOAD NOW
Kalau muncul iklan pop-up, tutup lalu klik tombol kembali

Download lagu Orthogonal properties of Legendre's Polynomial || Lect :- 13 || Advanced Special function || secara gratis hanya untuk keperluan promosi. Dukung artis favorit kamu dengan membeli musik original di iTunes atau platform resmi lainnya.