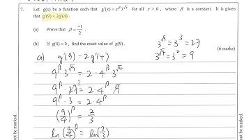
[2022 DSE] M1 Q7 答題詳解 | Solution guide (Indefinite integral)

Tonton & Download Video Musik Gratis

⬇ DOWNLOAD NOW
Kalau muncul iklan pop-up, tutup lalu klik tombol kembali

Download lagu [2022 DSE] M1 Q7 答題詳解 | Solution guide (Indefinite integral) secara gratis hanya untuk keperluan promosi. Dukung artis favorit kamu dengan membeli musik original di iTunes atau platform resmi lainnya.