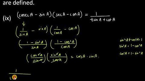
5. Prove the following identities, where the (v) cos A – sin A + 1/cos A + sin A – 1= cosec A+ cot A

Tonton & Download Video Musik Gratis

⬇ DOWNLOAD NOW
Kalau muncul iklan pop-up, tutup lalu klik tombol kembali

Download lagu 5. Prove the following identities, where the (v) cos A – sin A + 1/cos A + sin A – 1= cosec A+ cot A secara gratis hanya untuk keperluan promosi. Dukung artis favorit kamu dengan membeli musik original di iTunes atau platform resmi lainnya.