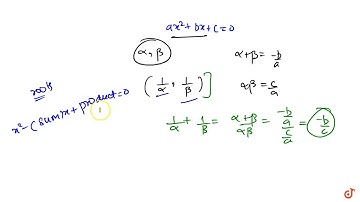
The quadratic equation whose roots are reciprocal of the equation ax2 + bx + c = 0 is ....

Tonton & Download Video Musik Gratis

⬇ DOWNLOAD NOW
Kalau muncul iklan pop-up, tutup lalu klik tombol kembali

Download lagu The quadratic equation whose roots are reciprocal of the equation ax2 + bx + c = 0 is .... secara gratis hanya untuk keperluan promosi. Dukung artis favorit kamu dengan membeli musik original di iTunes atau platform resmi lainnya.