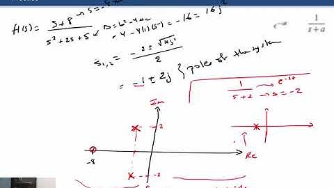
Lec 02: Transfer Function (Poles, zeros, DC gain) #swayamprabha #ch27sp

Tonton & Download Video Musik Gratis

⬇ DOWNLOAD NOW
Kalau muncul iklan pop-up, tutup lalu klik tombol kembali

Download lagu Lec 02: Transfer Function (Poles, zeros, DC gain) #swayamprabha #ch27sp secara gratis hanya untuk keperluan promosi. Dukung artis favorit kamu dengan membeli musik original di iTunes atau platform resmi lainnya.