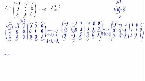
Cálculo de la matriz inversa (método de Gauss) - MATEMÁTICAS

Tonton & Download Video Musik Gratis

⬇ DOWNLOAD NOW
Kalau muncul iklan pop-up, tutup lalu klik tombol kembali

Download lagu Cálculo de la matriz inversa (método de Gauss) - MATEMÁTICAS secara gratis hanya untuk keperluan promosi. Dukung artis favorit kamu dengan membeli musik original di iTunes atau platform resmi lainnya.