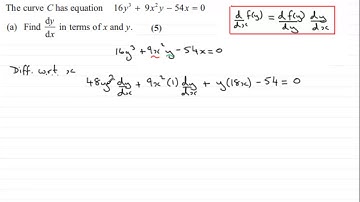
Edexcel AS/A-Level Core Maths C4 June 2008 - Question 4 (On Implicit differentiation)

Tonton & Download Video Musik Gratis

⬇ DOWNLOAD NOW
Kalau muncul iklan pop-up, tutup lalu klik tombol kembali

Download lagu Edexcel AS/A-Level Core Maths C4 June 2008 - Question 4 (On Implicit differentiation) secara gratis hanya untuk keperluan promosi. Dukung artis favorit kamu dengan membeli musik original di iTunes atau platform resmi lainnya.