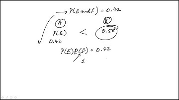
Section 5 Medium Question 13 Quantitative Reasoning GRE PowerPrep Online Test 1 Shorter GRE

Tonton & Download Video Musik Gratis

⬇ DOWNLOAD NOW
Kalau muncul iklan pop-up, tutup lalu klik tombol kembali

Download lagu Section 5 Medium Question 13 Quantitative Reasoning GRE PowerPrep Online Test 1 Shorter GRE secara gratis hanya untuk keperluan promosi. Dukung artis favorit kamu dengan membeli musik original di iTunes atau platform resmi lainnya.