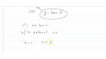
The length of the chord of the parabola \( y^{2}=4 a x(a0) \) which passes through the vertex an...

Tonton & Download Video Musik Gratis

⬇ DOWNLOAD NOW
Kalau muncul iklan pop-up, tutup lalu klik tombol kembali

Download lagu The length of the chord of the parabola \( y^{2}=4 a x(a0) \) which passes through the vertex an... secara gratis hanya untuk keperluan promosi. Dukung artis favorit kamu dengan membeli musik original di iTunes atau platform resmi lainnya.