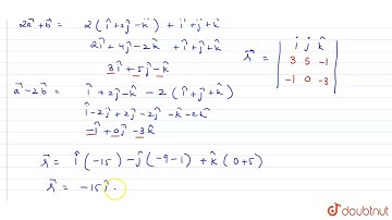
सदिश \( (\vec{a}+\vec{b}) \) और \( (\vec{a}-\vec{b}) \) में से प्रत्येक के लंबवत् मात्रक सदिश ज्...

Tonton & Download Video Musik Gratis

⬇ DOWNLOAD NOW
Kalau muncul iklan pop-up, tutup lalu klik tombol kembali

Download lagu सदिश \( (\vec{a}+\vec{b}) \) और \( (\vec{a}-\vec{b}) \) में से प्रत्येक के लंबवत् मात्रक सदिश ज्... secara gratis hanya untuk keperluan promosi. Dukung artis favorit kamu dengan membeli musik original di iTunes atau platform resmi lainnya.