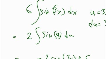
u CAN learn AP Calculus! Chapter 5-9 Indefinite Integrals

Tonton & Download Video Musik Gratis

⬇ DOWNLOAD NOW
Kalau muncul iklan pop-up, tutup lalu klik tombol kembali

Download lagu u CAN learn AP Calculus! Chapter 5-9 Indefinite Integrals secara gratis hanya untuk keperluan promosi. Dukung artis favorit kamu dengan membeli musik original di iTunes atau platform resmi lainnya.