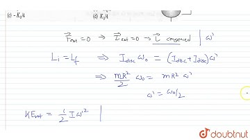
Two identical discs are positioned on a vertical axis a shown in the figure. The bottom disc is ....

Tonton & Download Video Musik Gratis

⬇ DOWNLOAD NOW
Kalau muncul iklan pop-up, tutup lalu klik tombol kembali

Download lagu Two identical discs are positioned on a vertical axis a shown in the figure. The bottom disc is .... secara gratis hanya untuk keperluan promosi. Dukung artis favorit kamu dengan membeli musik original di iTunes atau platform resmi lainnya.