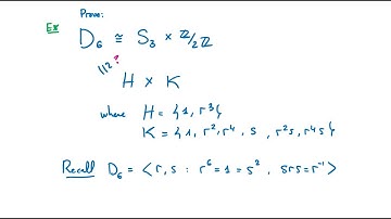
Internal direct product, external direct product,msc previous mathematics, advance abstract algebra

Tonton & Download Video Musik Gratis

⬇ DOWNLOAD NOW
Kalau muncul iklan pop-up, tutup lalu klik tombol kembali

Download lagu Internal direct product, external direct product,msc previous mathematics, advance abstract algebra secara gratis hanya untuk keperluan promosi. Dukung artis favorit kamu dengan membeli musik original di iTunes atau platform resmi lainnya.