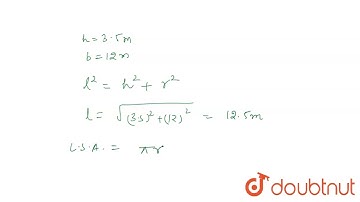
Canvas is required for a conical tent whose height is 3.5 m and the radius of the base is 12 m?

Tonton & Download Video Musik Gratis

⬇ DOWNLOAD NOW
Kalau muncul iklan pop-up, tutup lalu klik tombol kembali

Download lagu Canvas is required for a conical tent whose height is 3.5 m and the radius of the base is 12 m? secara gratis hanya untuk keperluan promosi. Dukung artis favorit kamu dengan membeli musik original di iTunes atau platform resmi lainnya.