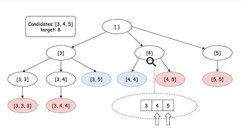
Combination Sum | Leetcode 39 | Amazon Google Facebook interview question

Tonton & Download Video Musik Gratis

⬇ DOWNLOAD NOW
Kalau muncul iklan pop-up, tutup lalu klik tombol kembali

Download lagu Combination Sum | Leetcode 39 | Amazon Google Facebook interview question secara gratis hanya untuk keperluan promosi. Dukung artis favorit kamu dengan membeli musik original di iTunes atau platform resmi lainnya.