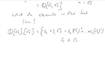
Abst Alg: Basis of R^3, Q(5^(1/3)) is a Vector Space over Q, Q(sqrt(2),sqrt(3))=Q(sqrt(2)+sqrt(3))

Tonton & Download Video Musik Gratis

⬇ DOWNLOAD NOW
Kalau muncul iklan pop-up, tutup lalu klik tombol kembali

Download lagu Abst Alg: Basis of R^3, Q(5^(1/3)) is a Vector Space over Q, Q(sqrt(2),sqrt(3))=Q(sqrt(2)+sqrt(3)) secara gratis hanya untuk keperluan promosi. Dukung artis favorit kamu dengan membeli musik original di iTunes atau platform resmi lainnya.