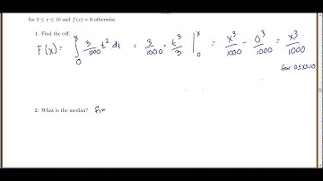
Stat 3000: Lecture Section 2.4 Variance and Percentiles and Quantiles

Tonton & Download Video Musik Gratis

⬇ DOWNLOAD NOW
Kalau muncul iklan pop-up, tutup lalu klik tombol kembali

Download lagu Stat 3000: Lecture Section 2.4 Variance and Percentiles and Quantiles secara gratis hanya untuk keperluan promosi. Dukung artis favorit kamu dengan membeli musik original di iTunes atau platform resmi lainnya.