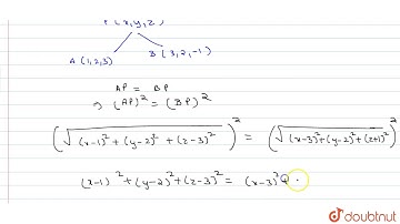
Find the locus of the points which are equidistant from the points \( (1,2,3) \) and \( (3,2,-1) \).

Tonton & Download Video Musik Gratis

⬇ DOWNLOAD NOW
Kalau muncul iklan pop-up, tutup lalu klik tombol kembali

Download lagu Find the locus of the points which are equidistant from the points \( (1,2,3) \) and \( (3,2,-1) \). secara gratis hanya untuk keperluan promosi. Dukung artis favorit kamu dengan membeli musik original di iTunes atau platform resmi lainnya.