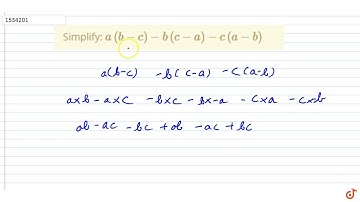
Simplify: a(b-c)+b(c-a)+c(a-b) | 8 | ALGEBRAIC EXPRESSIONS AND IDENTITIES | MATHS | RD SHARMA | ...

Tonton & Download Video Musik Gratis

⬇ DOWNLOAD NOW
Kalau muncul iklan pop-up, tutup lalu klik tombol kembali

Download lagu Simplify: a(b-c)+b(c-a)+c(a-b) | 8 | ALGEBRAIC EXPRESSIONS AND IDENTITIES | MATHS | RD SHARMA | ... secara gratis hanya untuk keperluan promosi. Dukung artis favorit kamu dengan membeli musik original di iTunes atau platform resmi lainnya.