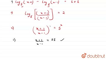
Solving LOGARITHM Equation: log(5) (x + 1) - log(5) (x - 1) = 2

Tonton & Download Video Musik Gratis

⬇ DOWNLOAD NOW
Kalau muncul iklan pop-up, tutup lalu klik tombol kembali

Download lagu Solving LOGARITHM Equation: log(5) (x + 1) - log(5) (x - 1) = 2 secara gratis hanya untuk keperluan promosi. Dukung artis favorit kamu dengan membeli musik original di iTunes atau platform resmi lainnya.