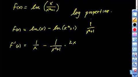
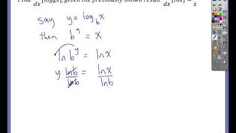
AP Calculus AB 2.7 The Derivative of a Logarithmic Function with Base b

Tonton & Download Video Musik Gratis

⬇ DOWNLOAD NOW
Kalau muncul iklan pop-up, tutup lalu klik tombol kembali

Download lagu AP Calculus AB 2.7 The Derivative of a Logarithmic Function with Base b secara gratis hanya untuk keperluan promosi. Dukung artis favorit kamu dengan membeli musik original di iTunes atau platform resmi lainnya.