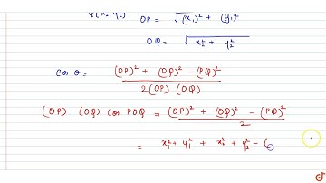
If O is the origin P(x1,y1) Q(x2,y2) are two points then OP.OQ sinPOQ

Tonton & Download Video Musik Gratis

⬇ DOWNLOAD NOW
Kalau muncul iklan pop-up, tutup lalu klik tombol kembali

Download lagu If O is the origin P(x1,y1) Q(x2,y2) are two points then OP.OQ sinPOQ secara gratis hanya untuk keperluan promosi. Dukung artis favorit kamu dengan membeli musik original di iTunes atau platform resmi lainnya.