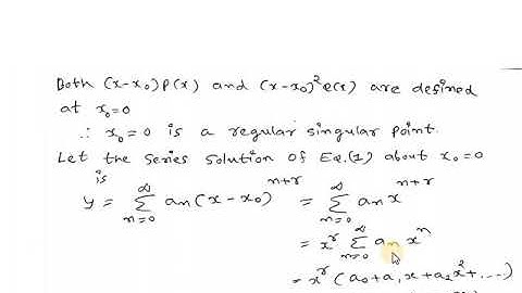
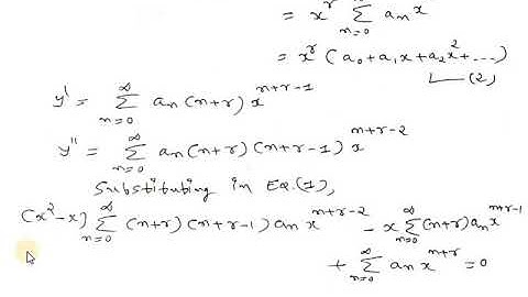
Frobenius Method Case-3(ii) by Asst.Prof.Hitesh Manglani

Tonton & Download Video Musik Gratis

⬇ DOWNLOAD NOW
Kalau muncul iklan pop-up, tutup lalu klik tombol kembali

Download lagu Frobenius Method Case-3(ii) by Asst.Prof.Hitesh Manglani secara gratis hanya untuk keperluan promosi. Dukung artis favorit kamu dengan membeli musik original di iTunes atau platform resmi lainnya.