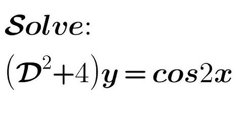
find particular integral of (D^3+1)y=cos2x|non homogeneous linear differential equation

Tonton & Download Video Musik Gratis

⬇ DOWNLOAD NOW
Kalau muncul iklan pop-up, tutup lalu klik tombol kembali

Download lagu find particular integral of (D^3+1)y=cos2x|non homogeneous linear differential equation secara gratis hanya untuk keperluan promosi. Dukung artis favorit kamu dengan membeli musik original di iTunes atau platform resmi lainnya.