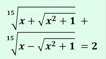
Cracking The Code: Tackling Radical Math Challenges. #creatorstudio

Tonton & Download Video Musik Gratis

⬇ DOWNLOAD NOW
Kalau muncul iklan pop-up, tutup lalu klik tombol kembali

Download lagu Cracking The Code: Tackling Radical Math Challenges. #creatorstudio secara gratis hanya untuk keperluan promosi. Dukung artis favorit kamu dengan membeli musik original di iTunes atau platform resmi lainnya.