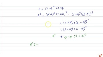
If A be an orthogonal matrix and P is a skew symmetric matrix, then A^-1PA is

Tonton & Download Video Musik Gratis

⬇ DOWNLOAD NOW
Kalau muncul iklan pop-up, tutup lalu klik tombol kembali

Download lagu If A be an orthogonal matrix and P is a skew symmetric matrix, then A^-1PA is secara gratis hanya untuk keperluan promosi. Dukung artis favorit kamu dengan membeli musik original di iTunes atau platform resmi lainnya.