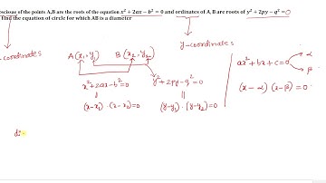
If the abscissae and the ordinates of two point `Aa n dB` be the roots of `a x^2+b x+c=0a n da^(...

Tonton & Download Video Musik Gratis

⬇ DOWNLOAD NOW
Kalau muncul iklan pop-up, tutup lalu klik tombol kembali

Download lagu If the abscissae and the ordinates of two point `Aa n dB` be the roots of `a x^2+b x+c=0a n da^(... secara gratis hanya untuk keperluan promosi. Dukung artis favorit kamu dengan membeli musik original di iTunes atau platform resmi lainnya.