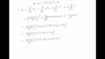
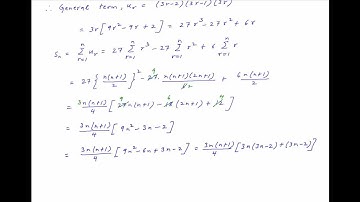
Find the sum to n terms of the series 1.2.3+2.4.6+3.6.9+...

Tonton & Download Video Musik Gratis

⬇ DOWNLOAD NOW
Kalau muncul iklan pop-up, tutup lalu klik tombol kembali

Download lagu Find the sum to n terms of the series 1.2.3+2.4.6+3.6.9+... secara gratis hanya untuk keperluan promosi. Dukung artis favorit kamu dengan membeli musik original di iTunes atau platform resmi lainnya.