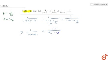
if abc=1 show that 1/1+a+b^-1 + 1/1+b+c^-1 + 1/1+c+a^-1 = 1

Tonton & Download Video Musik Gratis

⬇ DOWNLOAD NOW
Kalau muncul iklan pop-up, tutup lalu klik tombol kembali

Download lagu if abc=1 show that 1/1+a+b^-1 + 1/1+b+c^-1 + 1/1+c+a^-1 = 1 secara gratis hanya untuk keperluan promosi. Dukung artis favorit kamu dengan membeli musik original di iTunes atau platform resmi lainnya.