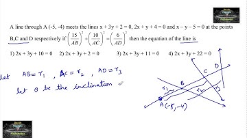
IIT JEE STRAIGHT LINES Consider the family of lines `5x+3y-2+lambda_1(3x-y-4)=0` and `x-y+1+lambd...

Tonton & Download Video Musik Gratis

⬇ DOWNLOAD NOW
Kalau muncul iklan pop-up, tutup lalu klik tombol kembali

Download lagu IIT JEE STRAIGHT LINES Consider the family of lines `5x+3y-2+lambda_1(3x-y-4)=0` and `x-y+1+lambd... secara gratis hanya untuk keperluan promosi. Dukung artis favorit kamu dengan membeli musik original di iTunes atau platform resmi lainnya.