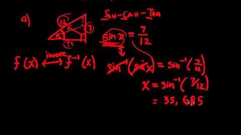
CPM Precalculus 1-89 - Length of a triangle's unknown side

Tonton & Download Video Musik Gratis

⬇ DOWNLOAD NOW
Kalau muncul iklan pop-up, tutup lalu klik tombol kembali

Download lagu CPM Precalculus 1-89 - Length of a triangle's unknown side secara gratis hanya untuk keperluan promosi. Dukung artis favorit kamu dengan membeli musik original di iTunes atau platform resmi lainnya.