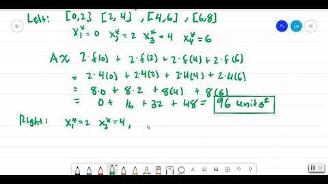
Vol. 1 Section 5.1/Vol. 2 Section 1.1 Approximating Area Under Curves Problem 1

Tonton & Download Video Musik Gratis

⬇ DOWNLOAD NOW
Kalau muncul iklan pop-up, tutup lalu klik tombol kembali

Download lagu Vol. 1 Section 5.1/Vol. 2 Section 1.1 Approximating Area Under Curves Problem 1 secara gratis hanya untuk keperluan promosi. Dukung artis favorit kamu dengan membeli musik original di iTunes atau platform resmi lainnya.