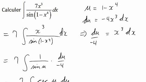
Intégration par Changement de Variable - Integration par Parties - 2 bac SM - [Exercice 32]

Tonton & Download Video Musik Gratis

⬇ DOWNLOAD NOW
Kalau muncul iklan pop-up, tutup lalu klik tombol kembali

Download lagu Intégration par Changement de Variable - Integration par Parties - 2 bac SM - [Exercice 32] secara gratis hanya untuk keperluan promosi. Dukung artis favorit kamu dengan membeli musik original di iTunes atau platform resmi lainnya.