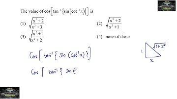
Find the value of: `cot(tan^(-1)a+cot^(-1)a)`...

Tonton & Download Video Musik Gratis

⬇ DOWNLOAD NOW
Kalau muncul iklan pop-up, tutup lalu klik tombol kembali

Download lagu Find the value of: `cot(tan^(-1)a+cot^(-1)a)`... secara gratis hanya untuk keperluan promosi. Dukung artis favorit kamu dengan membeli musik original di iTunes atau platform resmi lainnya.