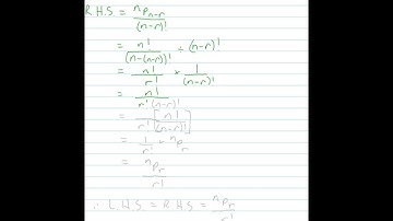
Permutation | Find value of n when np2=30 | Also prove from first principle that npr=n.(n_1)p(r_1)

Tonton & Download Video Musik Gratis

⬇ DOWNLOAD NOW
Kalau muncul iklan pop-up, tutup lalu klik tombol kembali

Download lagu Permutation | Find value of n when np2=30 | Also prove from first principle that npr=n.(n_1)p(r_1) secara gratis hanya untuk keperluan promosi. Dukung artis favorit kamu dengan membeli musik original di iTunes atau platform resmi lainnya.