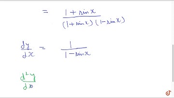
Q) If y = tan x + sec x prove that d^2 y/dx^2 = cos x / (1+ sin x )^2 CBSE 2026 Differentiation PYQ

Tonton & Download Video Musik Gratis

⬇ DOWNLOAD NOW
Kalau muncul iklan pop-up, tutup lalu klik tombol kembali

Download lagu Q) If y = tan x + sec x prove that d^2 y/dx^2 = cos x / (1+ sin x )^2 CBSE 2026 Differentiation PYQ secara gratis hanya untuk keperluan promosi. Dukung artis favorit kamu dengan membeli musik original di iTunes atau platform resmi lainnya.