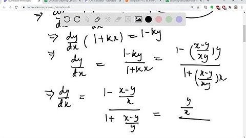
Find the orthogonal trajectories of the family of curves. Use a graphing device to draw several mem…

Tonton & Download Video Musik Gratis

⬇ DOWNLOAD NOW
Kalau muncul iklan pop-up, tutup lalu klik tombol kembali

Download lagu Find the orthogonal trajectories of the family of curves. Use a graphing device to draw several mem… secara gratis hanya untuk keperluan promosi. Dukung artis favorit kamu dengan membeli musik original di iTunes atau platform resmi lainnya.