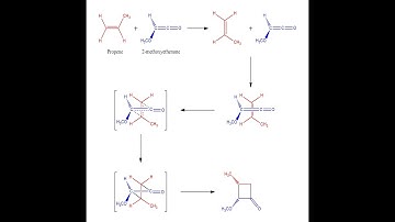
Ketene Cycloaddition Reaction | Example | Mechanism|2+2 cycloaddition of ketene|Pericyclic Chemistry

Tonton & Download Video Musik Gratis

⬇ DOWNLOAD NOW
Kalau muncul iklan pop-up, tutup lalu klik tombol kembali

Download lagu Ketene Cycloaddition Reaction | Example | Mechanism|2+2 cycloaddition of ketene|Pericyclic Chemistry secara gratis hanya untuk keperluan promosi. Dukung artis favorit kamu dengan membeli musik original di iTunes atau platform resmi lainnya.