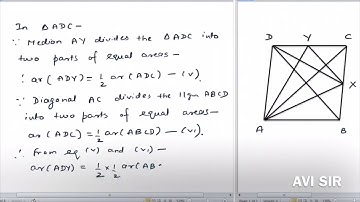
IX Area of Parallelograms and Triangles ABCD is a parallelogram X and Y are the mid points of BC

Tonton & Download Video Musik Gratis

⬇ DOWNLOAD NOW
Kalau muncul iklan pop-up, tutup lalu klik tombol kembali

Download lagu IX Area of Parallelograms and Triangles ABCD is a parallelogram X and Y are the mid points of BC secara gratis hanya untuk keperluan promosi. Dukung artis favorit kamu dengan membeli musik original di iTunes atau platform resmi lainnya.