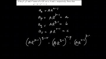
If pth, qth, rth term of a G.P. are a, b, c respectively. Prove that a^(q-r).b^(r-p).c^(p-q)=1

Tonton & Download Video Musik Gratis

⬇ DOWNLOAD NOW
Kalau muncul iklan pop-up, tutup lalu klik tombol kembali

Download lagu If pth, qth, rth term of a G.P. are a, b, c respectively. Prove that a^(q-r).b^(r-p).c^(p-q)=1 secara gratis hanya untuk keperluan promosi. Dukung artis favorit kamu dengan membeli musik original di iTunes atau platform resmi lainnya.