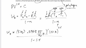
Thermo 4.5 - Polytropic Process - Boundary Work - Solved Example Problem

Tonton & Download Video Musik Gratis

⬇ DOWNLOAD NOW
Kalau muncul iklan pop-up, tutup lalu klik tombol kembali

Download lagu Thermo 4.5 - Polytropic Process - Boundary Work - Solved Example Problem secara gratis hanya untuk keperluan promosi. Dukung artis favorit kamu dengan membeli musik original di iTunes atau platform resmi lainnya.