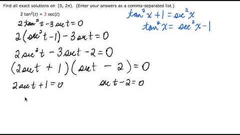
U7L3 Ex.3B: Trig Equations with Pythagorean Identities & Factoring

Tonton & Download Video Musik Gratis

⬇ DOWNLOAD NOW
Kalau muncul iklan pop-up, tutup lalu klik tombol kembali

Download lagu U7L3 Ex.3B: Trig Equations with Pythagorean Identities & Factoring secara gratis hanya untuk keperluan promosi. Dukung artis favorit kamu dengan membeli musik original di iTunes atau platform resmi lainnya.