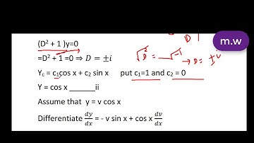
Bsc mathematics Lec#1 (Book Mathematical Method) ch#10 (exercise 10.5 Questions 1 to 5)

Tonton & Download Video Musik Gratis

⬇ DOWNLOAD NOW
Kalau muncul iklan pop-up, tutup lalu klik tombol kembali

Download lagu Bsc mathematics Lec#1 (Book Mathematical Method) ch#10 (exercise 10.5 Questions 1 to 5) secara gratis hanya untuk keperluan promosi. Dukung artis favorit kamu dengan membeli musik original di iTunes atau platform resmi lainnya.