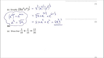
Edexcel IGCSE Maths Revision Booklet 2, Q5, Q6, Multiplication and simplification of surds

Tonton & Download Video Musik Gratis

⬇ DOWNLOAD NOW
Kalau muncul iklan pop-up, tutup lalu klik tombol kembali

Download lagu Edexcel IGCSE Maths Revision Booklet 2, Q5, Q6, Multiplication and simplification of surds secara gratis hanya untuk keperluan promosi. Dukung artis favorit kamu dengan membeli musik original di iTunes atau platform resmi lainnya.