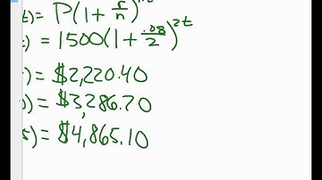
College Algebra Unit 4 Notes Exponential and Logarithmic Word Problems 2016

Tonton & Download Video Musik Gratis

⬇ DOWNLOAD NOW
Kalau muncul iklan pop-up, tutup lalu klik tombol kembali

Download lagu College Algebra Unit 4 Notes Exponential and Logarithmic Word Problems 2016 secara gratis hanya untuk keperluan promosi. Dukung artis favorit kamu dengan membeli musik original di iTunes atau platform resmi lainnya.